**Autonomous driving tech./*Matlab & simulink

[Matlab & Simulink] Integral( Sine wave ), Parametric Curve, 2nd ODE, Thermostat

2wnswoo 2025. 1. 15. 21:02


01 Sine wave 적분하고 그래프 나타내기

practice01-사인 그래프만 나타낸 모습

 

practice02-사인 그래프 ( 빨강 ) & 사인 그래프를 한 번 적분한 ( 파랑 ) 그래프의 모습

 

 

02 Parametric Curve 나타내기

practic03-Parametric Curve

 

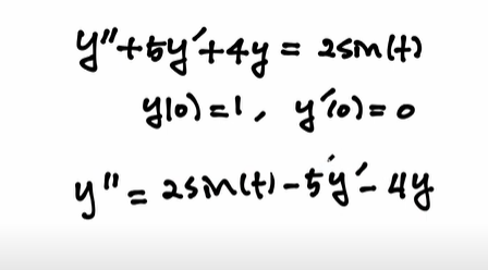
03 Soving 2nd ODE

practice03-Solving 2nd ODE

 

04 Thermostat System

practice04, 임계 값 2가 넘으면 켜지는 Relay 사용

 

 

Mux를 추가시켜서 방의 현재 온도( 노랑 ) 난방 시스템의 on/off 를 각각 아날로그와 디지털 그래프로 나타낸 모습

 

 

 

 

These learning materials are derived from Professor KANG Hyo-sang from DGIST