1. 여인수 (Cofactor)
- 소행렬식에 부호를 붙여 여인수를 구함.

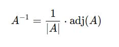
2. 수반행렬 (Adjugate Matrix)
- 여인수로 이루어진 행렬을 전치하여 수반행렬을 구함.

3. 역행렬 (Inverse Matrix)
- 행렬식이 0이 아니면 역행렬을 구할 수 있음.
- 수반행렬과 행렬식을 이용해 역행렬을 구함.

4. 특이행렬 (Singular Matrix)
- 행렬식이 0이면 역행렬이 존재하지 않음.
- 해당 행렬은 특이행렬이라 부름.
5. 행렬식의 성질
- 한 행 또는 열에 스칼라를 곱하면, 행렬식에도 해당 값을 곱함.
- 한 행 또는 열이 전부 0이면 행렬식은 0이 됨.
- 한 행에 다른 행의 배수를 더하거나 빼도 행렬식은 변하지 않음.
- 두 행 또는 열이 같거나 비례하면 행렬식은 0이 됨.
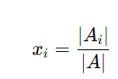
6. 크래머의 법칙 (Cramer’s Rule)
- 행렬식이 0이 아닐 때, 연립방정식의 해를 구할 수 있음.
- 원래 행렬의 열을 상수 벡터로 바꿔가며 해를 구함

'공학' 카테고리의 다른 글
| [Automation System] 07 (0) | 2025.04.15 |
|---|---|
| [Automation System] 06 Capacitor, Transistor (0) | 2025.04.01 |
| [Automation System] 05 (0) | 2025.03.31 |
| [Automation System] 04 (0) | 2025.03.21 |
| [Automation System] 03 Incremental/Absolute Encoder, Hall Effect (0) | 2025.03.18 |