Introduction.
Definition of the Poiseuille flow
포아제 흐름: 포아제 흐름은 점성이 있는 유체가 관을 통해 흐를 때, 유체의 속도가 관의 중심에서 가장 빠르고, 벽면에 가까워질수록 느려지는 층류를 의미합니다. 이는 유체의 점성에 의해 발생하는 현상을 말한다.
Feature of the Poiseuille flow
- 층류와 난류: 포아제 흐름은 일반적으로 레이놀즈 수(Re)가 2,000 이하일 때 발생하며, 이 경우 유체는 층을 이루며 부드럽게 흐릅니다. 레이놀즈 수가 2,000을 초과하면 난류가 발생하게 됩니다. 포물선 형상
- 속도 분포: 포아제 흐름에서는 속도 분포가 포물선 형태를 띠며, 이는 유체의 점성에 의해 결정됩니다. 관의 중심에서 속도가 가장 빠르고, 벽면에 가까워질수록 속도가 감소하다가 벽면에서 속도 0.

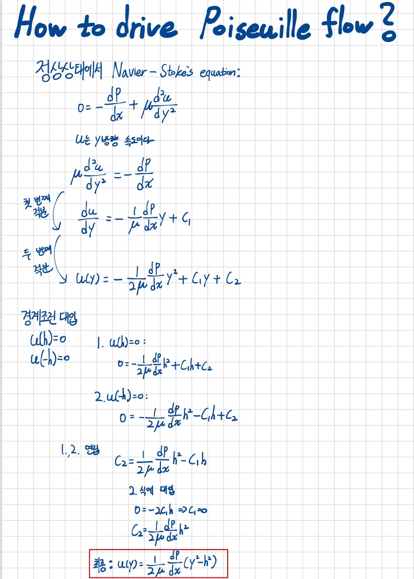
Then How to derive Poiseuille flow?




'공학 > 유체역학' 카테고리의 다른 글
| Derivation of the poiseuille, couette flow (1) | 2024.12.18 |
|---|---|
| [유체역학] 개념정리 (0) | 2024.11.19 |
| 용어 정리 ( 케비테이션, 점착조건, 절대압력, 계기압력 등등 ) (0) | 2024.09.23 |
| [유체역학] 레이놀즈 수 (1) | 2024.09.14 |
| 점성계수 및 동점성계수, 표면장력 (0) | 2024.09.12 |